联系人:舒工
手机:13726017833
qq:64407753
地址:广东省中山市三乡镇乌石村万里路2号16卡首层
发布时间:2020-08-27 22:08:48
2020年顺德一中高考语文成绩揭晓,四个班平均分第一名被四个老男人包揽。他们是:
张志林老师,1962年生。湖南人。喜辣。文科平行班第一名。
符柏岳老师,1963年生。湖南人。好辣。理科实验班第一名。
王宏老师,1964年生。江苏人。有辣最好。文科实验班第一名。
唐杰老师,1970后生。湖南人。无辣不欢。理科平行班第一名。
这四个男人也恰好是2020届顺德一中高三语文备课组年龄最大的四人。
姜还是老的辣。
他们恰恰又都嗜辣。
真可谓“最辣语文老师”!
伯仲叔季,谁可匹敌?

最辣语文老师――张志林
张志林老师:阳光老男孩,语文老前辈
从2017年到2020年,张志林老师连续带了三届高三,每一届都取得了非常优异的成绩。顺德一中宣传策划处对张志林老师进行了专访:

1、张老师,请介绍您的班级2020年高考的语文成绩,包括平均分,最高分,高分段学生人数和比例,进步最快的学生等等。
我所带的2020届17班(文科次重点班)、18班(文科平行班)的语文在今年的高考中取得了较好的成绩。两个班语文平均分分别为122.2分、120.6分(含3个体艺生成绩),虽然官方没有发布今年广东省高考各学科平均分情况,但近几年语文平均分一般为90多分。两个班最高分都是136分,为17班的任飞悦,18班的梅晓琳,这也是顺德一中文理科语文的最高分。120分以上分别为31人和28人,优秀率分别为72.1%、57.1%;130分以上分别为4人和5人,占比分别为9.3%、10.2%。进步最快的学生17班为任飞悦,由高二年级第一学期期末考试的111分,到高考的136分,提高了25分;18班为朱雨,由高二年级第一学期期末考试的83分,到高考的122分,提高了39分。

张志林老师与学生任飞悦、梅晓琳合影
2、请谈谈从高一到高三,您具体采用了哪些方法和策略?有什么效果?
我是2018届高考后,从高二开始接手这两个班的教学工作。我采取的方法和策略归结为“六个短语二十四个字”,即,提高认识、阅读起步、方法引路、养成习惯、学生为主、效率为本。
“提高认识”,主要是让学生认识有“百科之母”之称的语文的地位和价值;明确自己语文学习的现状与语文学习的方向;了解高中语文学科的特点,初高中语文学习的区别;坚信自己有学好语文的潜力。
“阅读起步”,让学生明白阅读永远是语文学习的“第一步”,它与作文并列为语文学习的两个最重要的目的。让学生感受到阅读本身就是一种享受,并懂得怎样阅读。
“方法引路”,从兴趣、求知欲入手,寻找语文学习的突破口。掌握训练方法:训练思维――提高思辨能力;品味语言――培养语言感受能力;注重积累――扎实语言功底。把握复习要点(复习时主要抓三件事):一是记忆知识;二是训练思路;三是把握规范。
“培养习惯”,让学生清楚,掌握学习方法要比学到知识重要,而养成良好的学习习惯,要比掌握学习方法更重要。良好的语文学习习惯是学好语文的基础之基础,好习惯一旦养成,将受用终生。我从“读、说、听、说、思、行”六个方面培养学生语文学习的习惯。





张志林老师指导学生做的语文笔记
“学生为主”,我在教学中,不断为学生创造“主动学习、合作探究、质疑发问,大胆展示”的平台,始终坚持“学生为主体,教师作引导”的教学方法。
“效率为本”,我从“动笔听课、积极思考、作业落实,小结归纳”四个方面抓教学效率的提高。
这些方法与策略的顺利推进,能让每一个学生喜欢上语文,爱上阅读和写作,有利于扩宽他们的视野、提升他们的审美与鉴赏能力。这些方法与策略的实施也能有效提高教学成绩,我所教的两个班语文在每次期中、期末和其他重要考试中,成绩始终名列前茅。





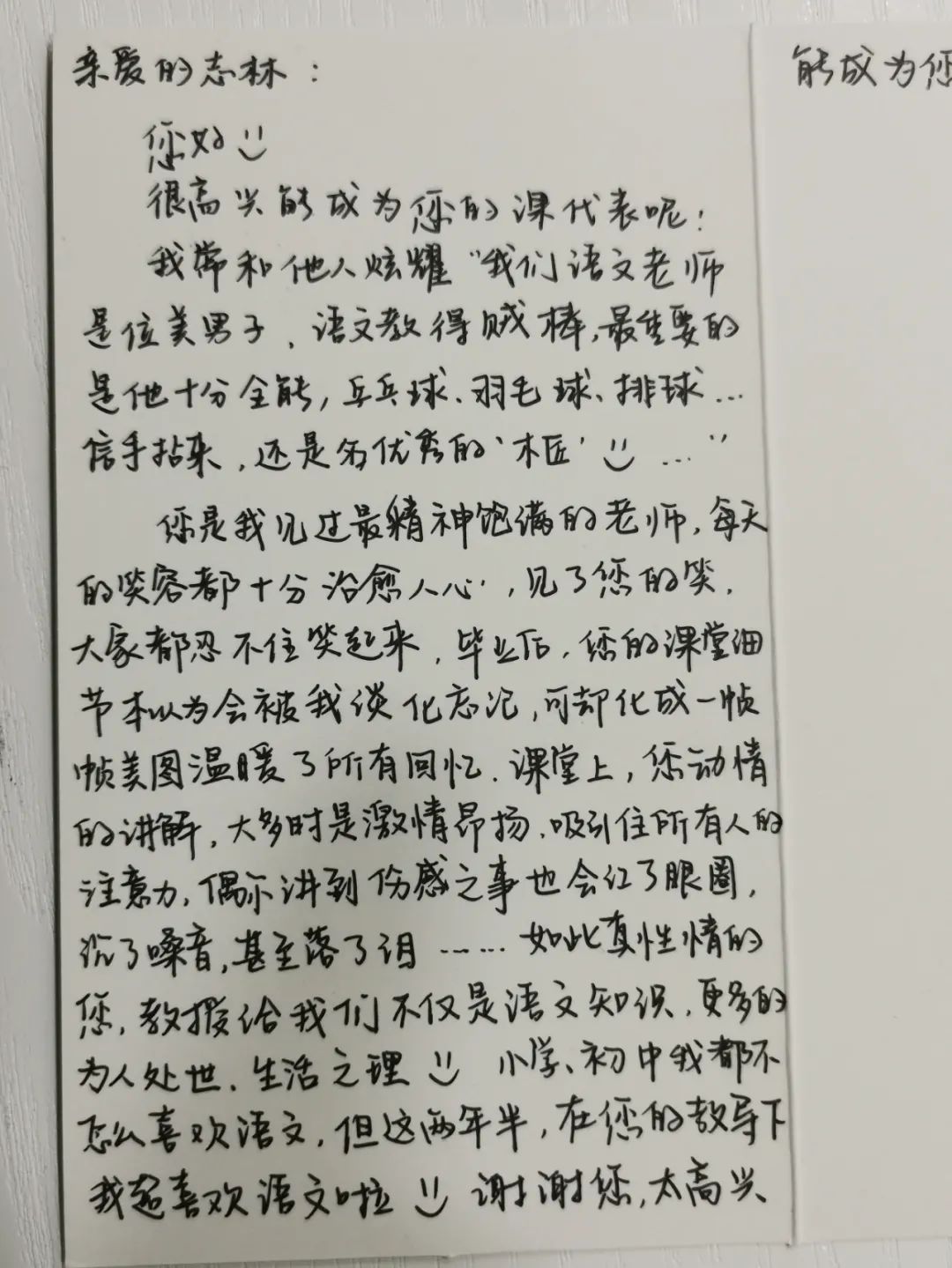
学生写给张志林老师的卡片
3、您为什么要采取这些方法?
采取这些方法和策略,目的就是一个,让每一个学生感受语文的魅力,真正喜欢上语文,并在今后的学习工作中能够得心应手地运用语文这一重要的交际工具。
4、您认为顺德一中的孩子在语文学习上还有哪些不足?需要提升哪些能力?
顺德一中的孩子在语文学习上虽然不错,但还有一些不足。一是有些同学对语文这一“百科之母”的学科认识不到位,不重视语文学习。自以为初中阶段语文功底不错,在高中阶段常常“吃老本”,就不再重视语文,特别是理科班的孩子,因而语文成绩不稳定,甚至不断下滑。实际上初高中语文,知识结构有区别,能力培养有区别,学习方法有区别。如果在了解高中语文学科的特点(难在积累、功在课外、贵在迁移)的基础上,重视语文,每天保证基本的学习时间和课外阅读时间,凭着一中学生的悟性,高考语文上120分,甚至上130分都是没有问题的。二是一些同学不愿意花时间阅读,认为阅读浪费时间,实际上高考对阅读的考查无处不在。
顺德一中的学生需要提升阅读能力,在阅读中感受人生的精彩,在阅读中铸造生命的质量。中学语文教学大纲规定高中三年要阅读300万字以上的课外读物,强调阅读的广泛性、必要性和重要性;杜甫“读书破万卷,下笔如有神”,强调多读的好处;余秋雨先生的《开发自己的生命》告诉星空体育阅读的人生意义。有人说“语文学习不在技巧,而在读书”,也再次强调阅读的重要性。
顺德一中的学生还需要提升运用能力,不能仅仅通过不断的刷题来提高成绩,要在适量做题的基础上,思考、归纳、总结每一类题的答题技巧,然后运用这些归纳总结的方法去规范审题、规范答题,同时注意规范中的变式答题法,把握“变”与“不变”的答题原则,不断提高灵活运用的能力。
5、从2017年到2020年,哪些学生给您留下了深刻的印象?请具体介绍一下。
我2017年、2018年都是任教高三年级,2018年接手高二年级文科17、18班。2017届高三(6)班的刘越博(语文129分,当年顺德一中理科班语文状元,考入中山大学),2018届高三(19)班的王津(语文127分),2020届的任飞悦、梅晓琳(语文都是136分,顺德一中语文双状元,有望被中大录取)、罗思颖(语文134分)、尤婉华(语文132分)、左阮同(语文130分)、邓雯娟(语文128分)等等,这些同学都给我留下了深刻的印象。
6、您有什么特别的兴趣和爱好吗?您认为这些爱好对您的语文教学是否有帮助?
我的兴趣和爱好很多。工作之余,我除了每天阅读自己喜欢的各类课外读物外,每天都会关注国际国内重大新闻、时事评论等。我坚持运动,喜欢打乒乓球、羽毛球、排球,也曾是顺德一中这三个项目的校队队员,参加过区级的比赛。这些爱好对语文教学很有帮助,广泛的阅读能让自己的语文课堂更时尚、更新鲜、更贴近生活,也更有深度,当然也更能激发学生浓厚的学习兴趣。经常锻炼,可以让自己始终保持健康的体魄、充沛的精力、饱满的情绪、乐观的心态。我每天都以积极阳光的心态,以真诚热爱学生、热爱生活的笑容,面对每一个学生,上好每一堂课,让学生不仅仅学到知识,更学习到为人处世的方法和生活之理,给学生潜移默化的积极影响。
7、当前,全国语文届都在大力提倡阅读,特别在这个快餐文化视觉文化时代,阅读特别是经典阅读面临巨大冲击。您认为阅读对学生的高考语文成绩的提升有多大作用?对学生一生的发展有多大作用?
阅读对学生的高考语文成绩的提升作用是巨大的。阅读永远是学习语文的第一步。语文学习说到底,不外两个字――交流。要交流,首先要吸取――阅读;然后表达――作文。阅读永远是语文学习的“第一步”,它与作文并列为语文学习的两个最重要的目的。没有阅读,就没有语文,当然就没有语文成绩的提升了。
阅读对学生一生的发展同样有巨大作用。余秋雨先生的《开发自己的生命》一文中告诉星空体育阅读的人生意义。他说:“尽早把阅读当作一件人生大事――阅读的最大理由是想摆脱平庸。一个人在青年时期就开始平庸,那么今后要摆脱平庸就十分困难 。”何谓平庸?平庸是一种被动而又功利的谋生态度。平庸者什么都不缺,只是无感于外部世界的精彩,人类历史的厚重,终极道义的神圣,生命涵义的丰富。要想摆脱平庸,就要“用古今浇灌”。只有书籍,能把辽阔的空间和漫长的时间浇灌给你,能把一切高贵生命早已飘散的信号传递给你,能把无数的智慧和美好对比着愚昧和丑陋一起呈现给你 ;“早一天阅读,就多一份人生的精彩,迟一天,就多一天平庸的困扰。” “青年人稚嫩的目光常常产生偏差,误以为是出身、财富、文凭、机运使有的人超乎一般,其实历尽沧桑的成年人都知道,最重要的是自身生命的质量。生命的质量需要铸造,阅读是铸造的重要一环。”
8、您已经是一名有三十多年教龄的老教师了,带班的效果又这么好。请您根据您多年的教学经验,给孩子们特别是高中的学生们介绍一些语文学习的方法。
语文学习的方法很多,我简单的说几点。一是重视阅读:动笔读书,勾画要点,做好摘抄;广泛阅读,拓宽视野;朗读背诵,把握精髓;随身带书,充分利用时间边角料。二是重视积累:持之以恒的积累基础知识,如成语、名人名言、优美语句、精彩片段、文言知识等;积累各类题的答题方法。三是训练思维,训练思维的整体性、思维的具体性、思维的广阔性、思维的深刻性、思维的批判性、思维的辩证性,不断提高思辨能力。四是经常练笔:做读书的有心人,生活的有心人,观察生活、领悟生活,把所见、所闻、所思、所感及时写下来,做好读后笔记、课外练笔。
(审核:关晔姬)
相关阅读
如需了解更多关于顺德一中的资讯,
可以点击下面的文章进行阅读。
★喜报||一步一脚印,三年三台阶――顺德一中2020年高考喜报
★新冠难阻 云路,砥砺更坚报国心――来自2020届高三家委会的贺信
★这就是一中人:一步一脚印,三年三台阶
★奔涌吧,后浪!因为你们,一中更精彩!
★2020顺德一中高考“最”系列之“最牛双子星,未来飞行员”
★2020顺德一中高考“最”系列之“最会办事的一中人”
★2020顺德一中高考“最”系列之“最牛宿舍”
★2020顺德一中高考“最”系列之“最牛学习小组”
联系方式
学校办公室电话
0757-22912800
学校地址
佛山 ? 顺德 ? 大良 ? 南国东路

扫一扫加好友