联系人:舒工
手机:13726017833
qq:64407753
地址:广东省中山市三乡镇乌石村万里路2号16卡首层
发布时间:2022-07-02 12:35:14 信息来源:
根据中山市教育和体育局下发的《中山市2022年高中阶段学校考试招生工作方案》(中教体通〔2022〕84号)、《中山市教育和体育局关于做好中山市普通高中学科类自主招生工作的通知》(中教体通〔2022〕88号)及《中山市实验中学2022年“小平科技创新班”学科类自主招生方案》的文件精神,学校对考生报名的材料进行了审核,现将审核结果名单进行公示,接受社会监督。
公示时间:2022年6月13日—2022年6月17日(5天)
投诉查询电话:0760-86915936
如有异议,请在公示期内向我校实名投诉或查询,逾期不予受理。
中山市实验中学
2022年6月13日
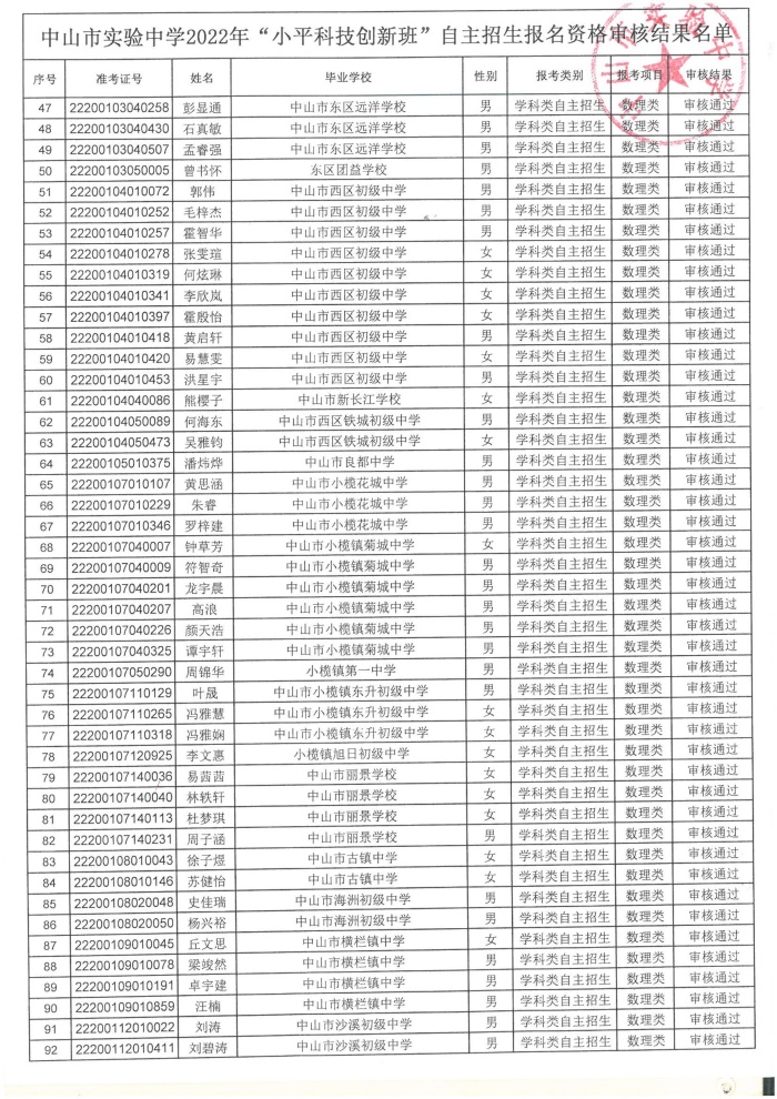
附件:中山市实验中学2022年“小平科技创新班”自主招生考核资格审核结果名单
温馨提示:
1.志愿填报:2022年6月29日-7月3日,获得考核资格的考生需登录中山市中考信息管理系统填报学科类自主招生志愿并确认,未填报我校学科类自主招生志愿的,不能参加我校自主招生考核,志愿填报方式:获得考核资格的考生可从中山招考网(http://zk.zsedu.cn/)首页填报志愿窗口进入,也可直接登入填报志愿端口:http://10.25.1.66:8004/(内网),http://61.142.114.234:8004/(外网)。
2.打印准考证:考生可于2022年6月15日起登陆中山市实验中学官网(http://syzx.zsedu.cn/)打印准考证,考生必须在2022年7月3日前自行打印好准考证,考生凭准考证方能入校参加我校考核。
3.准备身份证:考生提前准备本人二代身份证原件,如果没有本人二代身份证原件,需持以下有效证件原件之一参加学校考核:临时身份证、身份证办理回执、公安部门开具的身份证明、户口本。
4.考核时间:2022年7月7日上午9:00—11:30进行学校考核,我校考核采用“笔试”考核的方式进行,考核过程全程启用视频监控系统并录像。
5.考核地点:中山市东区东江路12号中山市实验中学日臻楼(第一教学楼)。
6.考核安排:考生请持本人二代身份证原件、准考证按时参加我校组织的考核,我校考核采用“笔试”考核的方式进行,“笔试”考核满分600分,考核内容:考察学生的数学、物理学科的综合素养。
7.参加学校考核的考生须知、注意事项和防疫要求:请关注中山市实验中学官网(http://syzx.zsedu.cn/),或关注中山市实验中学官方微信公众号,我校将于2022年7月3日通过中山市实验中学官网(http://syzx.zsedu.cn/)和中山市实验中学官方微信公众号发布相关要求。
8.防疫要求:参照2022年中山市中考目前最新的考生防疫须知,请所有考生和涉考人员须进行考前连续14天健康监测,考生须提供24小时内(以考生开考第一科计算)核酸阴性证明参加考试。





星空体育·星空官方网站-星空体育(中国)是一家体育场地设施工程专业承包商,从工程设计咨询,到原材料生产,至工程施工,公司为用户提供“一条龙”式服务;星空体育以国际先进的带施工图总承包方式,为客户提供“交钥匙”工程;同时,星空体育按现行招投标法,与国内同行一起进行工程竞标,在竞争中提升公司实力,为工程项目实施提供强有力的保障。 我公司是由国内资深的星空体育专家和具有多年体育场馆设计经验的体育建筑设计师筹建的,是代表中国南方(泛珠三角地区)体育场地设施工程施工的最高水平的专业承包商之一,公司具有中级以上职称的20人,项目“五大员”齐全,项目经理5名,基础工程施工队一支,塑胶施工队五支,自有大型数控沥青搅拌机,塑胶摊铺机,测量仪器一批,公司实施ISO质量管理体系。 公司已建立现代化企业制度,其相适应的财务制度、人事制度、分配制度和施工管理制度也已建立实行,在施工项目目标控制下,星空体育可以为业主提供非常有竞争力的工程报价,同时,星空体育的售后服务体系也已建立,全国性的维修网点即将全面铺开。 星空体育的质量体系为ISO9000:2000,星空体育以顾客为关注焦点,领导作用,全员参与,持续改进,基于事实的决策方法,为用户提供强大的工程质量保证体系,使用户无后顾之忧。
扫一扫加好友